欢迎访问淄博新闻时报官网
设为首页 | 收藏本站
国际新闻 民生新闻
时政新闻 经济新闻
军事新闻 体育新闻
部委信息 政坛人物
时事观察 政策解读
法治生活 法律法规
安全生产 食品安全 生态环保
健康卫生 房产商情 财经在线
娱乐资讯 旅游天下 科技之窗
文化名人 文化产业
中华情缘 书画收藏
报料投稿 查询系统
今天:
您所在的位置: > 黑龙江 >

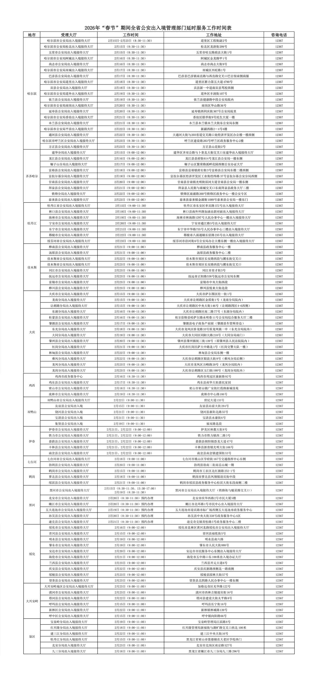
春节期间黑龙江省公安出入境窗口“延时”服务

时间: 2026-02-23 11:00 作者:网络 来源:人民网 点击:

春节假期将至,为确保广大群众顺利办理出入境证照,黑龙江省各级公安出入境管理部门精心安排窗口工作时间,坚持“服务不打烊、办证不间断”。省公安厅汇总发布全省公安出入境窗口春节服务时间表,方便您合理安排办证计划。

全省公安出入境管理部门将持续优化服务流程,保障假期办证顺畅,陪伴您温暖过年、平安出行。

各地窗口具体工作时间

(责任编辑:admin)

国际新闻

更多>>

民生新闻

更多>>

最新文章

推荐文章

关于我们 | 机构介绍 | 报社动态 | 联系我们 | 版权声明 | 招聘信息 | 查询系统
主办:淄博新闻时报 联系电话:0533-2885688 13305690216 邮箱:562513588@qq.com
地址:淄博市纬六路中关村科技城 邮编:255000
Copyright©2013 Www.Zbrx.Com Inc. All Rights Reserved.淄博新闻时报
鲁ICP备12017224号 鲁公网安备110102006107号